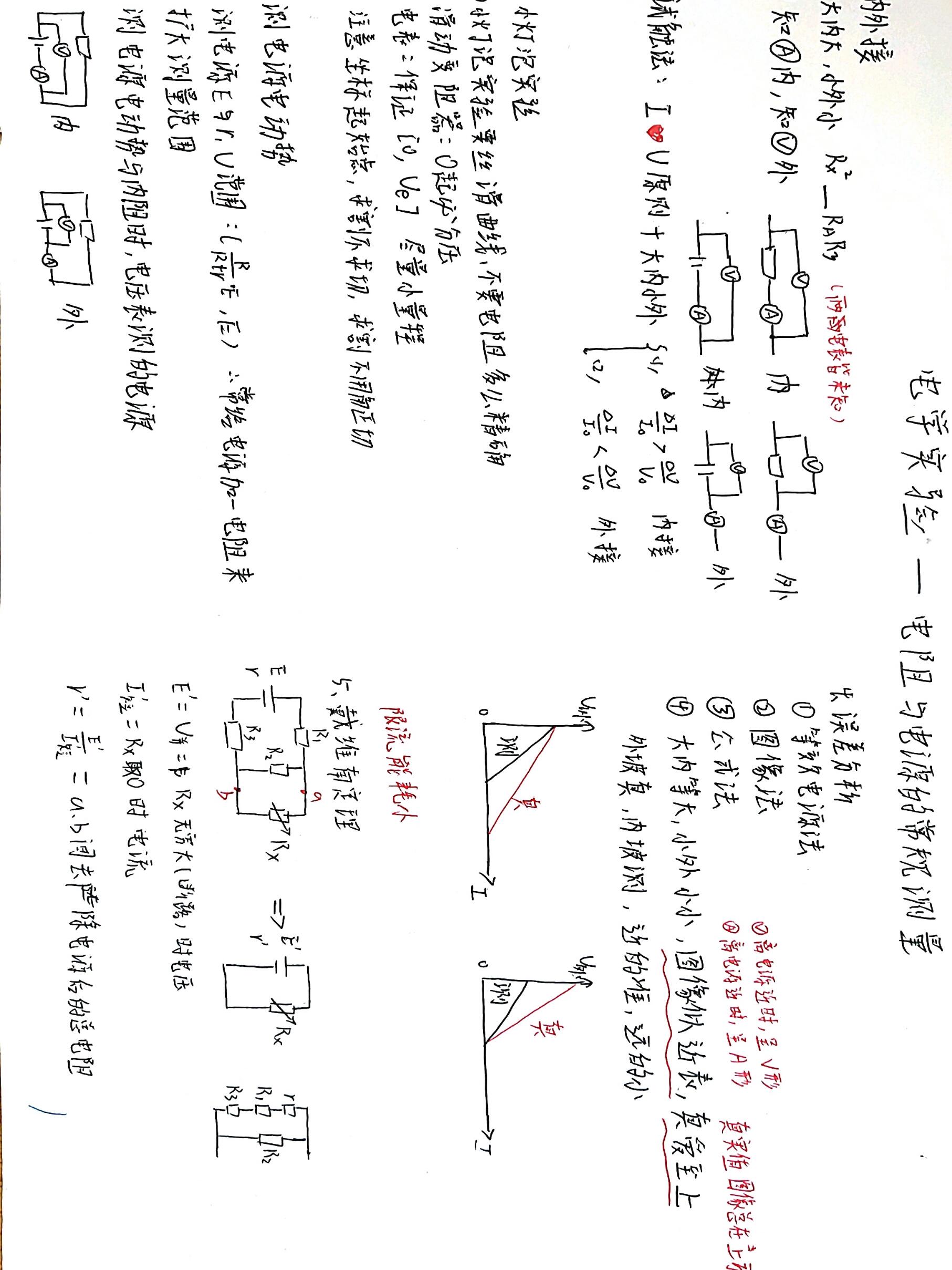
“伏安法测电阻欧姆定律”专题伏安法测电阻,是初中物理中的 电学实验的操作步骤,实验故障,滑动变阻器的使用,欧姆定律。
中考物理实验题复习电学实验部分试题和答案来至于菁优网改 小明设计了如图丁所示的电路,请你根据他的步骤写出定值电阻的。
知识回顾物理学是以实验和观察为基础的科学,电学实验是学习电学概念探究电学规律主要方法,所以电学实验是中考必考的主要题。
“伏安法测电阻欧姆定律”专题伏安法测电阻,是初中物理中的 电学实验的操作步骤,实验故障,滑动变阻器的使用,欧姆定律。
中考物理实验题复习电学实验部分试题和答案来至于菁优网改 小明设计了如图丁所示的电路,请你根据他的步骤写出定值电阻的。
知识回顾物理学是以实验和观察为基础的科学,电学实验是学习电学概念探究电学规律主要方法,所以电学实验是中考必考的主要题。
作者:barry001本文地址:http://wuqumv.com/post/355.html发布于 昨天
文章转载或复制请以超链接形式并注明出处乐学学习资料网_中小学学习资料库